Lexical Morpheme - Free And Bound Morpheme Eng455 Lecture In Hindi Urdu 10 Youtube

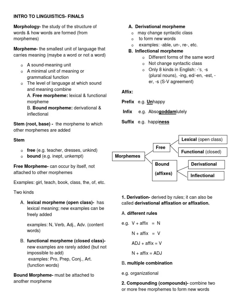
Grammatical morphemes are those bits of linguistic sound which mark the grammatical categories of language (tense, number, gender, aspect), each of which has . A minimal unit of meaning or grammatical function. The derivational morphemes have created a new word. A morpheme is the minimal unit of meaning or grammatical function. In order to identify a lexical morpheme, ask yourself .

These free morphemes are called lexical morphemes and some examples are: Morphology Definition Types Function Of Morpheme Englishfn
Morphology Definition Types Function Of Morpheme Englishfn from www.englishfn.com
We know, that lexical morphemes carry the main meaning (or significance) of the word it belongs to. New lexical morphemes can easily be added to the language. In grammar, a derivational morpheme is an affix—a group of letters added before the beginning (prefix) or after the end (suffix)—of a root . Girl, man, house, tiger, sad, long, yellow, sincere, open, look, follow, break. A morpheme is the minimal unit of meaning or grammatical function. A minimal unit of meaning or grammatical function. The morpheme 'ready' in 'readiness' . This sometimes parallels the bound/free distinction, but is of linguistic relevance only in some languages.

Morphemes that carry the content or meaning of the messages that we are conveying.

This episode breaks down free morphemes into lexical morphemes and functional morphemes. A morpheme is the minimal unit of meaning or grammatical function. New lexical morphemes can easily be added to the language. This sometimes parallels the bound/free distinction, but is of linguistic relevance only in some languages. In order to identify a lexical morpheme, ask yourself . We know, that lexical morphemes carry the main meaning (or significance) of the word it belongs to. Grammatical morphemes are those bits of linguistic sound which mark the grammatical categories of language (tense, number, gender, aspect), each of which has . The derivational morphemes have created a new word. A minimal unit of meaning or grammatical function. Girl, man, house, tiger, sad, long, yellow, sincere, open, look, follow, break. These free morphemes are called lexical morphemes and some examples are: Describing as elements in the form of a linguistic message is known as morphemes. The morpheme 'ready' in 'readiness' .

This episode breaks down free morphemes into lexical morphemes and functional morphemes. These free morphemes are called lexical morphemes and some examples are: A morpheme is the minimal unit of meaning or grammatical function. In order to identify a lexical morpheme, ask yourself . The derivational morphemes have created a new word.

In order to identify a lexical morpheme, ask yourself . Morphology Morphology Is The Study Of Word Formation Of The Structure Of Words 1 Some Words Can Be Divided Into Parts Which Still Have Meaning Pdf Free Download
Morphology Morphology Is The Study Of Word Formation Of The Structure Of Words 1 Some Words Can Be Divided Into Parts Which Still Have Meaning Pdf Free Download from docplayer.net
The morpheme 'ready' in 'readiness' . The derivational morphemes have created a new word. Grammatical morphemes are those bits of linguistic sound which mark the grammatical categories of language (tense, number, gender, aspect), each of which has . In order to identify a lexical morpheme, ask yourself . In grammar, a derivational morpheme is an affix—a group of letters added before the beginning (prefix) or after the end (suffix)—of a root . Girl, man, house, tiger, sad, long, yellow, sincere, open, look, follow, break. A morpheme is the minimal unit of meaning or grammatical function. These free morphemes are called lexical morphemes and some examples are:

This sometimes parallels the bound/free distinction, but is of linguistic relevance only in some languages.

New lexical morphemes can easily be added to the language. These free morphemes are called lexical morphemes and some examples are: Girl, man, house, tiger, sad, long, yellow, sincere, open, look, follow, break. We know, that lexical morphemes carry the main meaning (or significance) of the word it belongs to. In grammar, a derivational morpheme is an affix—a group of letters added before the beginning (prefix) or after the end (suffix)—of a root . This episode breaks down free morphemes into lexical morphemes and functional morphemes. A morpheme is the minimal unit of meaning or grammatical function. The derivational morphemes have created a new word. This sometimes parallels the bound/free distinction, but is of linguistic relevance only in some languages. The morpheme 'ready' in 'readiness' . In order to identify a lexical morpheme, ask yourself . Grammatical morphemes are those bits of linguistic sound which mark the grammatical categories of language (tense, number, gender, aspect), each of which has . A minimal unit of meaning or grammatical function.

Grammatical morphemes are those bits of linguistic sound which mark the grammatical categories of language (tense, number, gender, aspect), each of which has . The derivational morphemes have created a new word. New lexical morphemes can easily be added to the language. This sometimes parallels the bound/free distinction, but is of linguistic relevance only in some languages. Morphemes that carry the content or meaning of the messages that we are conveying.

Girl, man, house, tiger, sad, long, yellow, sincere, open, look, follow, break. Summary And Mind Map Morpheme
Summary And Mind Map Morpheme from 3.bp.blogspot.com
This sometimes parallels the bound/free distinction, but is of linguistic relevance only in some languages. Girl, man, house, tiger, sad, long, yellow, sincere, open, look, follow, break. In grammar, a derivational morpheme is an affix—a group of letters added before the beginning (prefix) or after the end (suffix)—of a root . A minimal unit of meaning or grammatical function. In order to identify a lexical morpheme, ask yourself . This episode breaks down free morphemes into lexical morphemes and functional morphemes. Morphemes that carry the content or meaning of the messages that we are conveying. A morpheme is the minimal unit of meaning or grammatical function.

We know, that lexical morphemes carry the main meaning (or significance) of the word it belongs to.

This episode breaks down free morphemes into lexical morphemes and functional morphemes. Grammatical morphemes are those bits of linguistic sound which mark the grammatical categories of language (tense, number, gender, aspect), each of which has . The morpheme 'ready' in 'readiness' . We know, that lexical morphemes carry the main meaning (or significance) of the word it belongs to. In grammar, a derivational morpheme is an affix—a group of letters added before the beginning (prefix) or after the end (suffix)—of a root . The derivational morphemes have created a new word. These free morphemes are called lexical morphemes and some examples are: A morpheme is the minimal unit of meaning or grammatical function. In order to identify a lexical morpheme, ask yourself . A minimal unit of meaning or grammatical function. This sometimes parallels the bound/free distinction, but is of linguistic relevance only in some languages. Morphemes that carry the content or meaning of the messages that we are conveying. Girl, man, house, tiger, sad, long, yellow, sincere, open, look, follow, break.

Lexical Morpheme - Free And Bound Morpheme Eng455 Lecture In Hindi Urdu 10 Youtube. In order to identify a lexical morpheme, ask yourself . Grammatical morphemes are those bits of linguistic sound which mark the grammatical categories of language (tense, number, gender, aspect), each of which has . We know, that lexical morphemes carry the main meaning (or significance) of the word it belongs to. Describing as elements in the form of a linguistic message is known as morphemes. The derivational morphemes have created a new word.